李宏道

二維離子薄膜之結構相變與電子特性

(Structure Transition and Electronic Properties of Two-dimensional Ionic Thin Films)

 

STM images of self-assembled ionic thin film with various sodium coverage (0~1ML).

 

Si 2p Cl 2p and Na 2p (right) core level photoemission spectra for the ALD growth process.

 

(a)-(f) Molecular dynamic process and (g) temperature history.

 


 

 

鐘仁陽

鹼金屬鹵化物奈米薄膜在共價鍵半導體表面成長模式和電子結構

(Growth Mode and Electronic Structure of Alkali Halide Nano-Films on the Covalent Semiconductor Surfaces)

 

(a) Si 2p and (b) Cl 2p core level photoemission spectra (circles) of
Cl-Si(100)-2×1 surface and Si(100) surface with various amounts of deposited KCl
(a) Close-up image of c(4×4) structure extracted from Figure 3. 5b. Pink
dashed rectangle denotes unit cell of ordered Cluster A. Bright protrusions on lower area
are Cluster B. (b) Top view, (c) perspective view, and (d) (1,1,0) projection of atomic
model of c(4×4) structures.
Filled-state STM images showing coverage evolution with deposition of
(a) 0.65, (b) 0.95, (c) 1.55, and (d) 2.25 ML NaCl on Si(100) surface as labeled

 

shows the apparent topographic height profiles and corresponding schematic of
NaCl films (large yellow rectangles) of one or two layers thick on Si(100) along the arrows in
(a) Figure 4. 4 (a), (b) Figure 4. 4 (b), and (c) Figure 4. 4 (c) respectively.

 


 

 

侯曉穎

由單一原子層影像探討氯化碘分子於鍺晶面之吸附過程

(Imaging the ICl-saturated Silicon Surfaces)

 

氯化碘/矽(100) 1 ML 未佔據態(Unoccupied state)STM 影像圖 圖中c (2 × 2) 區域以方框標示 碘原子與鄰近原子之相關聯分佈。橫軸為與中心碘原子之距離,縱軸為該
位置與中心碘原子之相關聯關係。

 

 


 

吳欣樺

氯化碘分子在矽和鍺晶面上選擇性吸附過程比較

(Comparison of Atomic Selectivity during the Abstractive Reactions of Iodine Monochloride on Si(100) and Ge(100))

 


 

簡靈櫻

氯化氫在矽表面上單一活性鍵的選擇性吸附

(Abstractive adsorption of a HCl molecule on an isolated dangling bond)

 

H/Si(100)表面製造出單一活性鍵(single dangling bond) 單一活性鍵吸附HCl分子中的H原子的情形 單一活性鍵吸附HCl分子中的Cl原子的情形

 

單一活性鍵和HCl分子的吸附過程示意圖,吸附H Cl的比例約為3:1

 


  

張展源

單一原子層離子固體在矽晶面上的成長與奇特排列

(Growth and Atomic Arrangement of a Single Layer NaCl on Si(100))

(Filled state images) Single NaCl atomic island seems apparent for STM tip! Atomic structure diagram (Empty state images) Single NaCl atomic island also seems apparent in this state!

 

Single NaCl atomic layer grown heteroepitaxially on Si(100) surface is just like a “carpet”.

 


 

羅中廷

氯化鈉於鍺表面上的長晶過程

(Atomic Layer Epitaxy of NaCl on Ge Surface)

       
在鍺(100)表面上,成長各個週期的氯化鈉晶體,Ge 3dNa 2p核心層光電子圖。 在鍺(100)表面上,成長各個週期的氯化鈉晶體,Cl 2p核心層光電子圖。 為透過曲線密合技術分析後,光電子譜峰之束縛能位移圖。

 

氯化鈉成長於鍺(100)表面過程示意圖。

 


 

翁靖勳

研究水分子在氯化鈉/鍺(100)表面之化學反應

(Core-Level Photoemission Study of Water exposing on NaCl/Ge(100))

(0)乾淨鍺(100)表面;(1)單層氯化鈉於鍺(100)表面;(2)18000L水於氯化鈉/(100)表面;(3)100毫安培於樣品;(4)300毫安培於樣品。 (1)單層氯化鈉於鍺(100)(2)18000L水於氯化鈉/(100)表面;(3)100毫安培於樣品;(4)300毫安培於樣品。 X軸的01234分別於以下所述。(0)乾淨鍺(100)表面;(1)單層氯化鈉於鍺(100)表面;(2)18000L水於氯化鈉/(100)表面;(3)100毫安培於樣品;(4)300毫安培於樣品。 X軸的01234分別於以下所述。(0)乾淨鍺(100)表面;(1)單層氯化鈉於鍺(100)表面;(2)18000L水於氯化鈉/(100)表面;(3)100毫安培於樣品;(4)300毫安培於樣品。

 


 

吳曉婷

雙原子分子在半導體表面孤立懸鍵上的吸附研究

(Adsorption of Diatomic Molecules on Adsorption Site)

探針脫附於Si(100)-2×1表面上
產生的孤立懸鍵
曝11.52L Cl在Si(100)-2×1:H
的吸附情形
曝11.52L Cl在Si(100)-2×1:H的吸附情形
結論

 


鄭閔光

矽晶表面上氫和氯原子的換位運動觀察與熱力學研究

(Kinetics of Position Exchange between H and Cl Atomic Sites on a Chlorine terminated Si Surface)

Si(100)-2x1:Cl samples at 570K
Dynamics of Movement
Hopping rates I – H-exposed set
Hopping rates II - non H-exposed set

 


楊鎧銘

靜電力對原子力顯微鏡在表面高度量測的影響

(Effect of Electrostatic Forces on the Topographic Height Measurement in Frequency Modulated Atomic Force Microscopy)

AFM Images by different cantilever
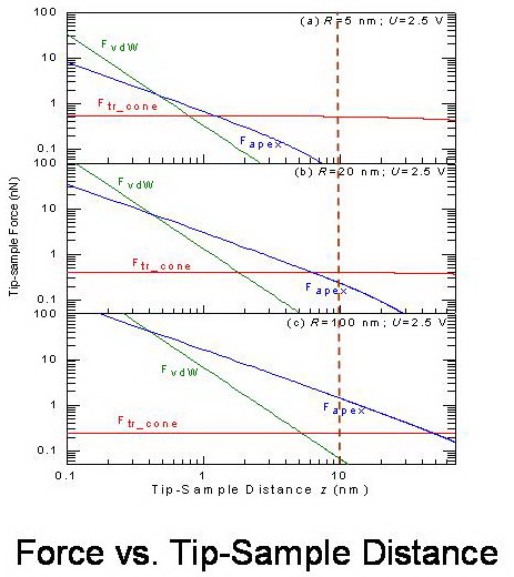
Force vs. Tip-Sample Distance
D(U) and Rel. Force Contribution
D(U) Data Fitting and Tip Radius

 


黃乾庭

以表面電位顯微鏡觀測金屬-氧化層-半導體能帶

(The Band Structure of Metal-Oxide-Semiconductor Measured by Kelvin Probe Force Microscopy)

MOS( p-type Si - SiO2- Ti ) KFM measurements- flat band
KFM measurements- accumulation
KFM measurements- inverson
Potional distribution- CPD vs. distance

 


吳依亭

研究原子力顯微鏡對於掃描Z高度量測訊號誤差

(Systematic Error of the Z-Height Measurement in the TappingMode AFM)

Z height measurement- r= 19 nm PtIr tip
Z height measurement- other tips
Phase measurement- r= 19 nm PtIr tip
Phase measurement- other tips

 


馮世鑫

Growth Behavior of Ge Quantum Dots on Nano-sized Si(111) Strips Bordered the (100) Planes

Ge dots on (100) planes
The formation of well-defined (111) surfaces
Ge dots on the (111) planes
Ge dots on the negative pyramid

 


 

張君黛

超薄鍺對於氧化矽成長初期的影響

(The Influence of Si Oxidation due to Thin Ge Layers)

含Ge量對於矽內體分量與矽氧化物的影響
Si 2p光電子能譜下內體分量與矽氧化物的 面積變化
Ge 3d光電子能譜譜線合配的結果
氧化層厚度的計算結果

 


 

邱祺雄

氯化鉀在矽(100)晶面上的原子結構

(The structure of KCl on Si(100) Surface)

氯化鉀在矽(100)晶面上的生成機制
氯化鉀在矽(100)晶面上的原子結構
氯化鉀在矽(100)表面的原子結構模型
結論

 


 

鄭人夤

氫、氯在矽表面上同時吸附的空間分佈關聯

(Site Correlation of co-adsorbed H and Cl on Si(100)-2x1)

低溫吸附HCl

低溫吸附HCl
高溫吸附HCl
結論

 


 

林昌廷

H : Si(100)-3x1 to 2x1 表面結構相變化的觀察

(Real-Space Observation of H:Si(100)-3x1 to 2x1 Phase Transition)

Type A phase transition
Type B phase transition
Type C phase transition
The coverage of 3x1 and 2x1

 


 

謝明峰

氫分子在矽鍺合金表面熱脫附現象之研究

(Hydrogen Molecular Desorption Mechanism from SiGe Alloy Surface)

利用氯原子吸附來觀察氫原子在矽鍺合金上的熱脫附現象
XPS的 Cl 2p 光譜圖 XPS 的 Si 2p 光譜圖
XPS 的 Ge 3d 光譜圖

 


吳俊偉

氯化鉀離子固體在矽晶上之介面研究

(Formation of an Ultra-thin KCl Layer on the Silicon Surface)

Si(100) + 0.4-ML-Ge + Cl2 + K(20s)
Si(100) + 0.4-ML-Ge + Cl2 + K(20s)
Si(100) + 0.4-ML-Ge + Cl2 + K(15s)
Si(100) + 0.4-ML-Ge + Cl2 + K(300s)

 


陳貞梅

電腦模擬 Si (100) 表面的 Ge 原子成長及排列方式

(Ge Layer-resolved Distribution During Deposition on the Si(100) Surface Studied by Simulation)

Ge原子在Si(100)表面上的成長方式
Ge原子以隨機換置Si原子的方式在Si(100)表面上成長
Cl terminated 1.2 ML Ge/Si(100)
 


楊正成

氫與氯共存於矽表面上之原子動態研究

(Atomic Dynamics of Hydrogen and Chlorine on the Si(100)-2×1 Surface)

1
曝氣H2氣體及Cl2氣體在Si(100)-2×1表面上
曝氣H2氣體及Cl2氣體在Si(100)-2×1表面上
直接曝氣HCl氣體在Si(100)-2×1表面上
H與Cl各自聚集


柴惠

超薄氧化矽層成長與熱脫附之研究-掃描探針顯微術的觀察

(Growth and Deposition of Ultrathin Silicon Dioxide- A Scanning-Probe-Microscopy Study)

低溫氧化(775oC),熱脫附後之STM影像
高溫氧化(850oC),熱脫附後之STM影像
STM & nc-AFM 氧化厚度比較
氧化厚度與曝氧溫度有關
reserach